Stability Challenges in Generator-Converter Integrated Systems: A Case Study
Project Summary
Supplying DC pulse loads from AC generators through Active Front-End (AFE) converters poses significant stability challenges for future naval Integrated Power and Energy Systems (IPES). As platforms integrate megawatt-scale pulsed loads, such as directed-energy weapons and advanced radars, the resulting sharp power fluctuations drive large voltage sags and frequency deviations on the AC bus. These disturbances place extreme stress on Phase-Locked Loops (PLLs), which are essential for keeping AFEs synchronized.
Experimental testing on a 50kW generator with pulsed load emulation demonstrated that even modest pulse amplitudes and fast ramp rates can destabilize PLLs, leading to overcurrent faults and converter shutdowns. Complementary simulations further showed that widely used synchronization schemes, including synchronous reference-frame and DDSRF-PLLs, are unable to remain stable under such rapid transients or harmonic distortion. Although more advanced approaches, such as DSOGI-PLL with FLL, exhibit stronger resilience, they are not yet widely available in commercial hardware.
Overall, the findings reveal that stability boundaries are tightly constrained by pulse amplitude and ramp rate, where small increases can trigger system failure. To ensure reliable operation in mission-critical naval applications, the study emphasizes the need for next-generation converter controls and advanced synchronization algorithms capable of mitigating the destabilizing impacts of pulsed power integration.
Read more
Technology Gap/Market Need
Current synchronization schemes struggle under fast transients and harmonic distortion. Naval systems with pulsed loads require advanced, commercially available synchronization methods to ensure reliability.
Target Application
Naval Integrated Power and Energy Systems (IPES) with megawatt-scale pulsed loads, such as directed-energy weapons and advanced radars.
Accomplishments/Deliverables
- Experimental testing on a 50kW generator with pulsed load emulation.
- Simulation studies evaluating synchronization schemes under transients.
- Comparative analysis of PLL-based synchronization methods.
Impact/Benefits
- Identifies critical stability boundaries for pulsed load integration.
- Demonstrates weaknesses of commonly used synchronization methods.
- Highlights the importance of advanced PLL/FLL techniques for naval IPES reliability.

Experimental setup for evaluating the stability of a system with pulsed DC loads, powered by an AC generator through an active rectifier

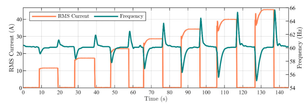
RMS current and frequency excursions of a 50kW generator under stepped pulse loads, highlighting severe transients as load magnitude increases.
Development of Ultra Compact AC/DC Converters for Low Power Applications
Project Summary
Low power AC/DC converters are vital for compact electronics such as IoT devices, portable sensors, and medical instrumentation. Current converters often face trade-offs between size, efficiency, EMI compliance, and cost. This project focuses on developing ultra-compact isolated converters using Flyback, Active Clamp Flyback (ACF), and LLC resonant topologies. By leveraging high-frequency operation, advanced magnetic designs, and modern switching devices, the converters target the 5W power range with universal AC input capability. The goal is to achieve high power density, improved efficiency, and reduced EMI, enabling next-generation miniature power solutions.
Read more
Technology Gap / Market Need:
The industry demands miniaturized, reliable, and cost-effective AC/DC solutions for low power electronics. Traditional bulky magnetic designs and low frequency operation limit power density and system integration. This research addresses the gap by employing high-frequency operation, compact magnetic designs, and advanced control schemes to enable next generation ultra compact AC/DC converters.
Accomplishments / Deliverables:
- Designed a 5W, 500 kHz isolated Flyback converter for universal AC input with >80% peak efficiency.
- Developed an Active Clamp Flyback prototype operating at 500 kHz with reduced switching stress and improved efficiency.
- Implemented an Active Clamp Flyback converter with a custom IC controller at 1 MHz, demonstrating high power density and enhanced performance.
- Designed an LLC resonant converter with switching frequencies up to 1.5 MHz, achieving compact magnetics and high efficiency.
Impact / Benefits:
- Enables ultra compact and efficient power solutions for the rapidly growing IoT and low-power device markets.
- Provides valuable design insights into topology trade-offs among Flyback, Active Clamp Flyback (ACF), and LLC resonant converters.
- Demonstrates how high frequency operation combined with optimized magnetics can significantly reduce converter volume while maintaining high efficiency.

Flyback converter

Active Clamp Flyback converter

Active Clamp Flyback converter with custom IC controller

LLC resonant converter with custom transformer
A Modular Solid-State Transformer (SST) Using 10kV Switching Devices
Project Summary
Achieving zero emissions in energy generation, transportation, and distribution depends on the development of reliable, efficient, cost-effective, and flexible power conversion systems that support renewable energy integration, bidirectional power flow, EV charging, and intelligent load management. As the energy sector shifts toward distributed renewables, electrified transportation, and smarter grids, traditional line-frequency transformers fall short due to their bulk, unidirectional nature, and limited control. Solid-State Transformers (SSTs) offer a transformative solution with compact size, active control, and efficient bidirectional operation. This project aims to design, develop, and validate a next-generation medium-voltage SST using 10 kV Silicon Carbide (SiC) MOSFETs to advance modern grid power conversion and enable more resilient energy future.
Read more
Technology Gap/Market Need
Traditional transformers lack efficiency, power density, and control needed for modern grids. There is a strong need for compact, high-performance solutions like SSTs with 10 kV SiC MOSFETs that offer bidirectional power flow and integration of renewables, storage, and EVs.
Target Application
Distribution, Data Centers, Smart Grids, Offshore Wind Farms, Utility-Scale PV Plants, Energy Storage Systems, and EV charging Solutions.
Accomplishments/Deliverables
- Developed system requirement and work breakdown for the MV SST system.
- Designed and simulated high frequency transformer (HFT).
- Designed and built a grid inductor.
- Developed a 3D model of the MV SST system.
- Designed and simulated the MV SST system.
Impact/Benefits
GRAPES IAB and academic members have shown strong interest in SSTs, especially at the medium-voltage level. This project addresses a key gap by developing a high-frequency, high-power SST using 10 kV SiC MOSFETs, significantly reducing the number of modules needed for MV operation. The project will serve as a scalable building block for future SST and DC distribution systems, strengthening GRAPES’ position in advanced SST development.

MV SST system structure

3D model of HFT
Compact, GaN-Based, 25kW 480VAC Bidirectional Inverter
Project Summary
Electrical power converters are crucial in multi-source AC and DC energy systems, especially as demand rises for higher efficiency, reliability, flexibility, and cost and size reduction. Currently, multi-kilowatt converters use silicon (Si) and silicon carbide (SiC) technologies, but gallium nitride (GaN) devices, a new wide bandgap semiconductor, offer reduced losses, higher operating temperatures, and increased reliability. This project will develop a 25kW, 950VDC/480VAC three-level neutral point clamp (NPC) inverter using GaN field-effect transistors (FETs), advancing switching frequency and size reduction for applications in grid systems, automotive, and distributed generation.
Read More:
Technology Gap/Market Need:
The industry needs efficient, compact, reliable and low-cost power converters for various applications.
Target Application
Generation, Distribution, End Use, Power Packaging, Modeling and Control
Circuits and Converters, Smart Inverters, Solar Inverter, UPS, Battery Storage Systems
Accomplishments/Deliverables
- Designed compact 25kW, 480VAC grid connected bidirectional converter.
- Tested 3-phase 3L-ANPC benchtop controlled with FPGA and verified converter output.
- Determined the EMI noise sources and modeled common and differential modes
- Designed a PCB-based planar inductor to reduce size and tolerance on inductance
- Designed air-cooled heat sinks for GaN switches of 3L-ANPC at two sides of the board.
- Developed a compact 12”x11”x3” PCB board including all power elements.
Impact/Benefits
The outcomes of this project will generate valuable knowledge for GRAPES IAB and universities on high-frequency GaN-based converters. It will also establish a generalized process for designing and developing such converters, including control strategies, power stages, gate drives, EMI noise mitigation, and EMI filter design.

The developed converter

A view from top
Stability Challenges in Generator-Converter Integrated Systems: A Case Study
Project Summary
Supplying DC pulse loads from AC generators through Active Front-End (AFE) converters poses significant stability challenges for future naval Integrated Power and Energy Systems (IPES). As platforms integrate megawatt-scale pulsed loads, such as directed-energy weapons and advanced radars, the resulting sharp power fluctuations drive large voltage sags and frequency deviations on the AC bus. These disturbances place extreme stress on Phase-Locked Loops (PLLs), which are essential for keeping AFEs synchronized.
Experimental testing on a 50kW generator with pulsed load emulation demonstrated that even modest pulse amplitudes and fast ramp rates can destabilize PLLs, leading to overcurrent faults and converter shutdowns. Complementary simulations further showed that widely used synchronization schemes, including synchronous reference-frame and DDSRF-PLLs, are unable to remain stable under such rapid transients or harmonic distortion. Although more advanced approaches, such as DSOGI-PLL with FLL, exhibit stronger resilience, they are not yet widely available in commercial hardware.
Overall, the findings reveal that stability boundaries are tightly constrained by pulse amplitude and ramp rate, where small increases can trigger system failure. To ensure reliable operation in mission-critical naval applications, the study emphasizes the need for next-generation converter controls and advanced synchronization algorithms capable of mitigating the destabilizing impacts of pulsed power integration.
Read more
Technology Gap/Market Need
Current synchronization schemes struggle under fast transients and harmonic distortion. Naval systems with pulsed loads require advanced, commercially available synchronization methods to ensure reliability.
Target Application
Naval Integrated Power and Energy Systems (IPES) with megawatt-scale pulsed loads, such as directed-energy weapons and advanced radars.
Accomplishments/Deliverables
– Comparative analysis of PLL-based synchronization methods.
– Experimental testing on a 50kW generator with pulsed load emulation.
– Simulation studies evaluating synchronization schemes under transients.
